这几天,好多班级的同学都问我,你是怎么入团的?我都回答,是因为参加献血的。之前我就说“周五是我献血的‘黄道吉日’”,那么今天就去献血了。
但是,这个扎针的时候是真的痛。得亏是200毫升的,3-4分钟就完事了,要是当时选了400毫升… 那么就得8分钟了。
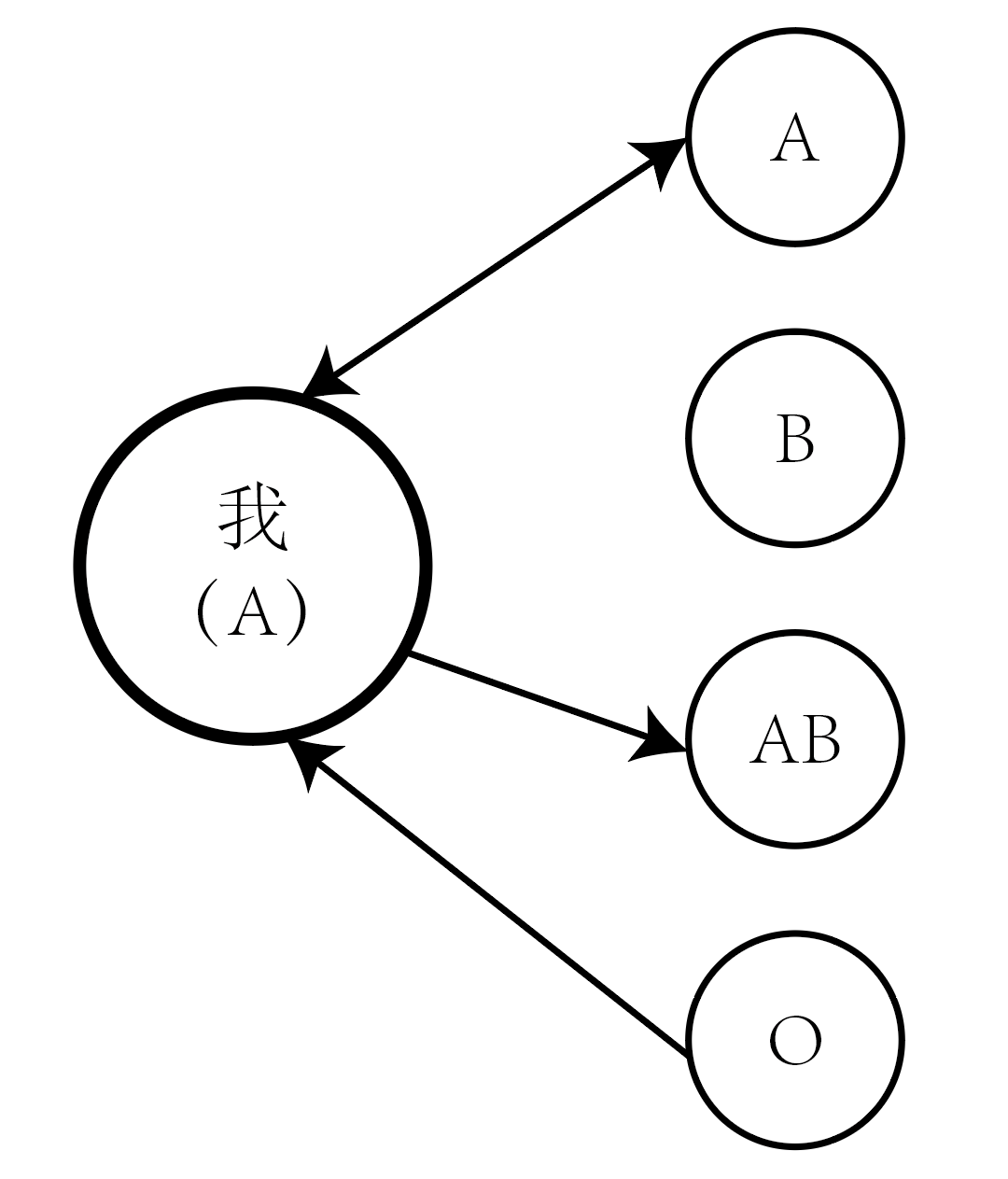
因为参加献血,所以我昨天确定入团(预计12月23号给团籍),下周一到周三可以不上课,系主任的作业据说也没了。至于我自己,我还知道了我的血型:是 A 型。也就是说,血型适配如下图所示:

在离开3楼献血的地方的时候,我戴上耳机,再次打开了《城南花已开》。正好我走楼梯,看着一名护士按下电梯按钮,准备坐电梯。感谢有你们。是你们,才让世界更加灿烂。
这几天在崇明岛的家,继续学 Python。昨天在图书馆复习函数中 print() 和 return 的区别,还是没学会。比如这段:
operation_1 = '正在启动'
operation_2 = '正在验证权限'
def solve():
operation_1 = '正在运行'
print(operation_2)
print(operation_1)
solve()
# 返回什么?def f(x):
y = 2 * x + 1
if x > 2:
print(y)
return y
else:
print(y + 1)
return y + 1
# x = 2,4 的时候,返回什么?